新聞資訊News
行業新聞
技術要求:輸入電壓Vin:90-253Vac
輸出電壓Vo:27.6V
輸出電流Io:6A
輸出功率Po:166W
效率η:0.85
輸入功率Pin:195W
輸入濾波電容計算過程:

上圖為整流后濾波電容上電壓波形,在zui低輸入電壓下,如果我們想在濾波電容上得到的電壓Vdc為115V,則從上圖可以得到:
Vpk=90*1.414=127V
Vmin=Vdc-(Vpk-Vdc)=103V
將電源模塊等效為一個電阻負載的話,相當于在T3時間內電容對恒定功率負載進行放電,電容電壓jiang低(Vpk-Vmin)V。
Idc*T3=C*△V
其中:
△V=Vpk-Vmin=127-103=24V
關鍵部分在T3的計算,T3=t1+t2,t1為半個波頭,時間比較好算,對于50Hz的交流來說,t1=5mS,然后就是計算t2,其實t2也很好計算,我們知道交流輸入電壓的公式為
Vx=Vpksinθx,根據已知條件,Vx=103V,Vpk=127V,可以得到θx=54度,所以t2=54*10ms/180=3mS, T3=t1+t2=8mS。
C=1.7*8/24=0.57mF=570uF
變壓器的設計過程
變壓器的設計分別按照DCM、CCM、QR兩種方式進行計算,其實QR也是DCM的一種,不同的地方在于QR的工作頻率是隨著輸入電壓輸出功率的變化而變化的。
對于變壓器磁芯的選擇,比較常用的方法就是AP法,但經過多次具體設計及根據公司常用型號結合,一般可以直接選擇磁芯,象這個功率等級的反激,選擇PQ3535的磁芯即可。磁芯的參數如下:AE=190mm2,AL=4300nH,Bmax≥0.32T
1)DCM變壓器設計過程:
開關頻率選擇80K,zui大占空比選擇0.48,全范圍DCM,則在zui低輸入電壓Vdc下,占空比zui大,電路工作在BCM狀態,根據伏秒平衡,可以得到以下公式,
Vdc*Dmax=Vor*(1-Dmax),
從而計算反射電壓為Vor=95V
匝比
n=Vor/(Vo+Vf)=3.32 Vf為整流二極管壓降
計算初級匝數

計算副邊匝數
Ns=Np/n=6.32,選擇7匝,
則原邊匝數調整為
Np=3.32*7=23匝
計算輔助繞組匝數,輸出電壓變化范圍按照20-27.6V設計,要求在20V輸出下輔助繞組能正常供電,所以,輔助繞組選擇4匝。
初級電感量
Po=0.5L*I*I*F/η I=Vinmin*Dmax/(L*F)

將各個參數代入,得到L值 L=78uH
初級電流峰值:

初級電流有效值:

次級電流有效值:

根據電流有效值,可以選擇變壓器線徑,根據匝數繞電感后,調整氣息使電感量滿足要求,即可得到合適的變壓器。
以下黃色字體部分,是根據batteryli提到,對于DCM,變壓器的△B值可以適當選的大一些,從而jiang低匝數減小漏感,可以減小尖峰。因此按照△B=0.2設計的變壓器。
開關頻率選擇80K,zui大占空比選擇0.48,全范圍DCM,則在zui低輸入電壓Vdc下,占空比zui大,電路工作在BCM狀態,根據伏秒平衡,可以得到以下公式,
Vdc*Dmax=Vor*(1-Dmax),
從而計算反射電壓為Vor=95V
匝比
n=Vor/(Vo+Vf)=3.32 Vf為整流二極管壓降
計算初級匝數

計算副邊匝數 Ns=Np/n=4.8,選擇5匝,
則原邊匝數調整為 Np=3.32*5=17匝
計算輔助繞組匝數,輸出電壓變化范圍按照20-27.6V設計,要求在20V輸出下輔助繞組能正常供電,所以,輔助繞組選擇3匝。
初級電感量 Po=0.5L*I*I*F/η I=Vinmin*Dmax/(L*F)

將各個參數代入,得到L值 L=78uH
初級電流峰值:

初級電流有效值:

次級電流有效值:

根據電流有效值,可以選擇變壓器線徑,根據匝數繞電感后,調整氣息使電感量滿足要求,即可得到合適的變壓器。
2)CCM變壓器設計過程:
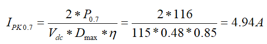
CCM變壓器的設計,必須首先確定一個負載點,在該狀態下,變壓器工作在BCM狀態下,如果負載繼續增加則進入CCM,如果負載減小,則進入DCM,一般情況下,我會選擇zui低輸入電壓下額定負載的70%為BCM狀態。
70%負載情況下,輸出功率為P0.7=27.6*6*0.7=116W,因此峰值電流為

從這個時刻,如果繼續增加負載電流,變壓器進入CCM狀態,占空比不變,所以,峰峰值電流也就是這個值,因此ΔI=4.94A
滿載情況下,輸入平均電流

設峰值電流為IPK則

根據△I占Ipk的比例,確定△Bmax,△Bmax/Bmax=△I/Ipk得到△Bmax=4.94*0.32/6=0.26T,選擇△B為0.18T,計算變壓器原邊匝數
根據伏秒平衡,可以得到以下公式,
Vdc*Dmax=Vor*(1-Dmax),
從而計算反射電壓為Vor=95V
匝比 n=Vor/(Vo+Vf)=3.32 Vf為整流二極管壓降
副邊匝數 Ns=18/3.32=5.4,選擇6匝,
原邊匝數調整為 Np=3.32*6=20
計算輔助繞組匝數,輸出電壓變化范圍按照20-27.6V設計,要求在20V輸出下輔助繞組能正常供電,所以,輔助繞組選擇4匝。
根據△I=Vdc*Dmax/Lp*F,可以得到變壓器原邊電感值

3)QR模式變壓器的設計過程
zui低輸入電壓103V,zui大占空比Dmax選擇0.48,在zui低輸入電壓情況下,變壓器工作在臨界模式(QR模式實際只是近似與臨界模式不是在臨界模式,只是為了方便計算,用臨界模式來近似計算),則根據伏秒平衡
Vdc*Dmax=Vor*(1-Dmax),
Vor= Vdc*Dmax/(1-Dmax)
=103*0.48/(1-0.48)
=95V
匝比 n=Vor/(Vo+Vf)=95/(27.6+1)=3.32
采用0B2203,如果全范圍內都工作在QR狀態下,則在同一負載條件下,工作頻率只跟隨輸入電壓變化,頻率變化比如下: 
將Vo=27.6V、Vf=1V、VdcL=115V、n=3.32、VdcH=360V代入,可以得到FsH=2.25FsL,如果將低壓滿載工作頻率設置在50k,則高壓滿載工作頻率則工作在2.25*50=112.5 k。
變壓器工作在QR模式時,MOS管開通時,變壓器原邊儲存能量,在MOS關關閉時刻wan全傳遞到副邊,每個周期變壓器原邊儲存的能量為

變壓器傳遞到副邊的總能量等于每個周期傳遞的能量與頻率的乘積,所以

原邊峰值電流可以通過下式得到

將 Po=166W、η=0.85、Vdc=115V、Dmax=0.48、F=50K帶入上式可以得到變壓器原邊電感 L=156uH
在zui低輸入電壓情況下,初級峰值電流zui大,初級電流峰值zui大值

初級電流波形為三角波,所以有效值為

次級電流有效值

則初級繞組匝數匝

次級繞組匝數Ns=26/3.32=8匝,選擇8匝,則原邊調整為27匝
由于負載為兩串鉛酸蓄電池,zui低充電電壓按照20V計算,輔助繞組選擇4匝。
MOS管的選擇
初級峰值電流6.34A,按照1.5倍余量選擇,MOS管電流選擇6.34*1.5=9.5A
輸入電壓zui高值360V,反射電壓95V,考慮尖峰電壓100V,MOS管耐壓按照0.85的余量選擇,則MOS管耐壓應不低于

庫存MOS管中,滿足電壓電流條件的型號為FQA13N80,所以選擇該型號MOS管。
輸出二極管的選擇
變壓器變比27:8,當輸入電壓zui高時,折算到副邊的電壓為360*8/27=107V
因此二極管承受的反向電壓為107+27.6=135V,考慮尖峰電壓50V,二極管耐壓按照0.85的容量選擇,則V=(135+50)/0.85=218V
副邊峰值電流為6.34*27/8=21A
庫存zui接近的二極管是STTH3003,耐壓300V,兩個15 a二極管并聯。